DZ-D型柱塞式计量泵

一、DZ-D型柱塞式计量泵产品概述:
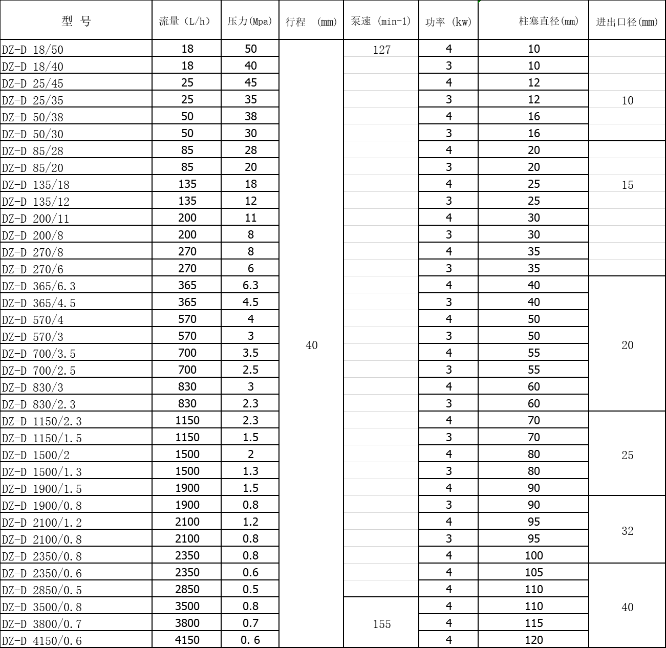
流量范围: 0-4150 L/H
压力范围: 0-50 Mpa
驱动系统:两相、三相电机或防爆电机
流量控制:手动控制,自动控制
防护等级: IP55,IP54
材料
泵头:SUS304,SUS316,SUS304+PTFE,SUS316+PTFE
隔膜:PTFE
单向阀:SUS304,SUS316,PVC,PTEF
阀球:氧化锆,SUS304,SUS316,陶瓷,二氧化硅
工作条件
环境温度:-30℃--- 90℃
二、DZ-D型柱塞式计量泵产品原理:
1. 通过柱塞的往复运动,直接将工作介质吸入或排出。由于柱塞和密封都直接接触介质,选择合造的柱塞材质和密封形式,可保证泵在运转过程中具有更理想的性能。
2. 柱塞泵头结构简单、经济、计量精度高,需要选择和维护好密封, 柱塞和密封之间横向自动对中性,确保两者之间的磨损小。柱塞的材质有不锈钢、氧化陶瓷,氧化陶瓷具有耐腐蚀和硬度高耐磨的特点。